Cara mengali pecahan biasa – Mengali pecahan biasa adalah keterampilan matematika penting yang digunakan dalam berbagai aspek kehidupan. Dari memasak hingga konstruksi, memahami cara mengalikan pecahan sangat penting untuk menyelesaikan masalah secara akurat dan efisien. Dalam panduan ini, kita akan membahas langkah-langkah untuk mengalikan pecahan biasa, termasuk menyamakan penyebut, mengalikan pecahan campuran, dan menyederhanakan pecahan.
Dengan mengikuti langkah-langkah ini, Anda dapat menguasai pengalian pecahan biasa dan membuka berbagai peluang untuk menerapkan keterampilan ini dalam kehidupan nyata.
Pemahaman Dasar: Cara Mengali Pecahan Biasa
Pecahan biasa adalah cara mewakili bagian dari keseluruhan. Ini terdiri dari dua angka yang dipisahkan oleh garis horizontal: pembilang (di atas garis) dan penyebut (di bawah garis).
Misalnya, pecahan 1/2 mewakili setengah dari keseluruhan. Pembilangnya (1) menunjukkan jumlah bagian yang diambil, sedangkan penyebutnya (2) menunjukkan jumlah bagian keseluruhan.
Perbedaan Pembilang dan Penyebut
Pembilang menunjukkan jumlah bagian yang diambil, sedangkan penyebut menunjukkan jumlah bagian keseluruhan. Penyebut tidak boleh nol karena akan menghasilkan pembagian dengan nol yang tidak terdefinisi.
Pecahan Setara
Pecahan setara adalah pecahan yang mewakili bagian yang sama dari keseluruhan, meskipun pembilang dan penyebutnya berbeda. Misalnya, 1/2, 2/4, dan 3/6 semuanya merupakan pecahan setara.
Membandingkan Pecahan Biasa
Untuk membandingkan pecahan biasa, Anda dapat menggunakan penyebut yang sama. Pecahan dengan penyebut yang lebih kecil mewakili bagian yang lebih besar dari keseluruhan.
Langkah-Langkah Mengali Pecahan Biasa
Mengali pecahan biasa melibatkan perkalian pembilang dan penyebut dari kedua pecahan tersebut. Berikut langkah-langkahnya:
Kalikan Pembilang
Pertama, kalikan pembilang dari kedua pecahan. Hasil perkalian ini akan menjadi pembilang dari pecahan hasil kali.
Kalikan Penyebut
Selanjutnya, kalikan penyebut dari kedua pecahan. Hasil perkalian ini akan menjadi penyebut dari pecahan hasil kali.
Aturan Tanda
Perhatikan tanda dari kedua pecahan. Jika kedua pecahan bernilai positif atau negatif, hasil kalinya akan positif. Jika salah satu pecahan positif dan yang lainnya negatif, hasil kalinya akan negatif.
Contoh Soal, Cara mengali pecahan biasa
Kalikan pecahan 1/2 dan 3/4:
- Kalikan pembilang: 1 x 3 = 3
- Kalikan penyebut: 2 x 4 = 8
- Aturan tanda: Kedua pecahan positif, jadi hasil kalinya positif.
- Pecahan hasil kali: 3/8
Tips
- Ubah pecahan campuran menjadi pecahan biasa sebelum mengalikan.
- Jika pembilang dan penyebut dari pecahan hasil kali memiliki faktor persekutuan terbesar (FPB), sederhanakan pecahan dengan membaginya dengan FPB.
Pentingnya Menguasai Pengalian Pecahan Biasa
Menguasai pengalian pecahan biasa sangat penting dalam kehidupan sehari-hari. Ini berguna dalam berbagai situasi, seperti:
- Memasak: Mengukur bahan resep secara akurat.
- Konstruksi: Menghitung luas atau volume objek.
- Ilmu pengetahuan: Menyelesaikan masalah dalam fisika, kimia, dan matematika.
Menyamakan Penyebut
Menyamakan penyebut pecahan sangat penting untuk melakukan operasi aritmatika seperti penjumlahan, pengurangan, perkalian, dan pembagian pecahan. Ini memungkinkan pecahan yang berbeda untuk memiliki penyebut yang sama, sehingga operasi tersebut dapat dilakukan dengan mudah.
Faktorisasi Penyebut
Salah satu metode untuk menyamakan penyebut adalah dengan memfaktorkan penyebut setiap pecahan. Misalnya, untuk pecahan 1/2 dan 1/3, kita dapat memfaktorkan penyebutnya menjadi 2 = 2 x 1 dan 3 = 3 x 1. Karena 2 x 3 = 6, maka penyebut terkecil yang sama adalah 6.
Kelipatan Persekutuan Terkecil (KPK)
Metode lain untuk menyamakan penyebut adalah dengan mencari kelipatan persekutuan terkecil (KPK) dari penyebut-penyebut pecahan. KPK adalah kelipatan terkecil yang sama untuk semua penyebut. Untuk pecahan 1/2 dan 1/3, KPK-nya adalah 6, karena 6 adalah kelipatan terkecil yang sama untuk 2 dan 3.
Dalam matematika, mengalikan pecahan biasa dapat dilakukan dengan mengalikan pembilang dan penyebutnya secara silang. Sama seperti dalam dunia pertanian, membuat bibit semangka juga memerlukan ketelitian. Bibit yang baik diperoleh dari biji semangka yang matang sempurna, seperti yang diajarkan dalam artikel cara bikin bibit semangka . Setelah mendapat bibit berkualitas, proses mengalikan pecahan biasa kembali berlanjut, memastikan perhitungan yang tepat untuk menyelesaikan soal matematika dengan hasil yang akurat.
Contoh Menyamakan Penyebut Pecahan
Misalkan kita ingin menjumlahkan pecahan 1/2 dan 1/3. Pertama, kita perlu menyamakan penyebutnya. Kita dapat memfaktorkan penyebutnya atau mencari KPK-nya. Karena KPK dari 2 dan 3 adalah 6, kita dapat menulis ulang pecahan-pecahan tersebut sebagai 3/6 dan 2/6.
Setelah penyebutnya sama, kita dapat menjumlahkan pembilangnya: 3/6 + 2/6 = 5/6. Oleh karena itu, penjumlahan dari 1/2 dan 1/3 adalah 5/6.
Mengali pecahan biasa dapat terasa menantang, tetapi dengan teknik yang tepat, hal ini menjadi mudah. Misalnya, saat mengali 1/2 dengan 3/4, kita mengalikan pembilang dengan pembilang dan penyebut dengan penyebut, menghasilkan 3/8. Menariknya, proses ini mirip dengan membuat chocolate chips cookies . Pertama, kita mencampur bahan-bahan basah dengan kering.
Kemudian, kita menambahkan chocolate chips dan mengaduknya secara merata. Setelah itu, kita membentuk adonan menjadi bola-bola dan memanggangnya hingga berwarna keemasan. Mengali pecahan biasa, seperti membuat chocolate chips cookies, membutuhkan ketelitian dan pemahaman langkah demi langkah.
Mengali Pecahan Campuran
Dalam matematika, pecahan campuran adalah kombinasi dari bilangan bulat dan pecahan biasa. Pecahan campuran sering digunakan untuk mewakili angka yang tidak dapat dinyatakan sebagai bilangan bulat atau pecahan biasa saja.
Mengubah Pecahan Campuran menjadi Pecahan Biasa
Untuk mengali pecahan campuran, pertama-tama kita harus mengubahnya menjadi pecahan biasa. Ini dapat dilakukan dengan mengalikan bilangan bulat dengan penyebut pecahan, kemudian menambahkan pembilangnya. Hasilnya adalah pembilang pecahan biasa, sedangkan penyebutnya sama dengan penyebut pecahan campuran.
Mengalikan Pembilang dan Penyebut
Setelah pecahan campuran diubah menjadi pecahan biasa, kita dapat mengkalikan pembilang dan penyebutnya seperti yang kita lakukan pada pecahan biasa lainnya. Untuk mengalikan pembilang, kita kalikan pembilang dari kedua pecahan. Untuk mengalikan penyebut, kita kalikan penyebut dari kedua pecahan.
Menyederhanakan Pecahan
Setelah mengalikan pembilang dan penyebut, kita mungkin perlu menyederhanakan pecahan jika hasilnya tidak dalam bentuk paling sederhana. Untuk menyederhanakan pecahan, kita cari faktor persekutuan terbesar (FPB) dari pembilang dan penyebut, kemudian bagi kedua bilangan tersebut dengan FPB.
Contoh Soal, Cara mengali pecahan biasa
Misalkan kita ingin mengalikan pecahan campuran 1 1/2 dengan 2 1/4.
- Ubah pecahan campuran menjadi pecahan biasa: 1 1/2 = 3/2 dan 2 1/4 = 9/4
- Kalikan pembilang dan penyebut: (3/2) x (9/4) = 27/8
- Sederhanakan pecahan: 27/8 = 3 3/8
Jadi, 1 1/2 x 2 1/4 = 3 3/8.
Pecahan Campuran sebagai Hasil Pembagian
Pecahan campuran juga dapat dilihat sebagai hasil pembagian bilangan bulat dengan bilangan bulat. Misalnya, pecahan campuran 1 1/2 dapat dilihat sebagai hasil pembagian 3 dengan 2 (3/2 = 1 1/2).
Tabel Ringkasan Langkah-langkah
| Langkah | Deskripsi |
|---|---|
| 1 | Ubah pecahan campuran menjadi pecahan biasa. |
| 2 | Kalikan pembilang dan penyebut. |
| 3 | Sederhanakan pecahan jika memungkinkan. |
“Memahami cara mengali pecahan campuran sangat penting dalam kehidupan nyata. Pecahan campuran digunakan dalam berbagai bidang, seperti memasak, konstruksi, dan keuangan. Dengan mengetahui cara mengalikan pecahan campuran, kita dapat menyelesaikan masalah dengan lebih akurat dan efisien.”
Mengali Pecahan Biasa
Mengali pecahan biasa melibatkan perkalian pembilang dan penyebut kedua pecahan. Proses ini dapat dilakukan secara langkah demi langkah untuk memperoleh hasil akhir yang akurat.
Perkalian Pembilang dan Penyebut
Langkah pertama adalah mengalikan pembilang dari kedua pecahan. Hasilnya akan menjadi pembilang pecahan baru.
Langkah kedua adalah mengalikan penyebut dari kedua pecahan. Hasilnya akan menjadi penyebut pecahan baru.
Memperoleh Pecahan Baru
Pecahan baru yang diperoleh memiliki pembilang yang merupakan hasil perkalian pembilang kedua pecahan, dan penyebut yang merupakan hasil perkalian penyebut kedua pecahan.
Contoh
Misalkan kita ingin mengalikan 1/2 dengan 3/4.
- Kalikan pembilang: 1 x 3 = 3
- Kalikan penyebut: 2 x 4 = 8
- Pecahan baru: 3/8
Kesimpulan
Dengan mengikuti langkah-langkah ini, kita dapat mengalikan pecahan biasa secara akurat dan memperoleh hasil akhir yang tepat.
Pentingnya Menyederhanakan Pecahan
Pecahan adalah cara untuk merepresentasikan bagian dari keseluruhan. Menyederhanakan pecahan sangat penting karena memudahkan kita untuk membandingkan dan melakukan operasi matematika dengan pecahan tersebut.
Metode Menyederhanakan Pecahan Setelah Dikali
Setelah mengalikan pecahan, kita perlu menyederhanakan hasilnya untuk mendapatkan pecahan yang setara dalam bentuk paling sederhana. Berikut ini adalah metode untuk menyederhanakan pecahan setelah dikalikan:
Mencari Faktor Persekutuan Terbesar (FPB)
FPB dari pembilang dan penyebut adalah bilangan terbesar yang membagi kedua bilangan tersebut tanpa sisa.
Membagi Pembilang dan Penyebut dengan FPB
Setelah menemukan FPB, kita bagi pembilang dan penyebut dengan FPB tersebut.
Hasilnya adalah Pecahan yang Sederhana
Pecahan yang dihasilkan setelah pembagian adalah pecahan yang sudah sederhana.
Mengali pecahan biasa melibatkan mengalikan pembilang dengan pembilang dan penyebut dengan penyebut. Namun, saat kamu ingin memeriksa saldo rekening Bank BJB, kamu bisa melakukannya dengan mudah lewat ponsel melalui cara cek rekening bjb lewat hp . Setelah kamu selesai mengecek saldo, kembali lagi ke proses pengalian pecahan biasa.
Dengan mengalikan kedua pembilang dan penyebut, kamu dapat menyederhanakan pecahan menjadi bentuk yang lebih sederhana.
Contoh Penyederhanaan Pecahan Setelah Dikali
Misalkan kita memiliki pecahan 1/2 dan 3/4. Setelah mengalikan kedua pecahan tersebut, kita mendapatkan 3/8.
FPB dari 3 dan 8 adalah 1.
Kita bagi pembilang dan penyebut dengan FPB:
3 ÷ 1 = 3
8 ÷ 1 = 8
Jadi, pecahan yang sederhana setelah dikalikan adalah 3/8.
Langkah-langkah Menyederhanakan Pecahan Setelah Dikali
- Kalikan pecahan.
- Tentukan FPB dari pembilang dan penyebut.
- Bagi pembilang dan penyebut dengan FPB.
- Pecahan yang dihasilkan adalah pecahan yang sederhana.
Bagan Proses Menyederhanakan Pecahan Setelah Dikali
| Langkah | Tindakan |
|---|---|
| 1 | Kalikan pecahan. |
| 2 | Tentukan FPB dari pembilang dan penyebut. |
| 3 | Bagi pembilang dan penyebut dengan FPB. |
| 4 | Pecahan yang dihasilkan adalah pecahan yang sederhana. |
Pentingnya Menyederhanakan Pecahan Setelah Dikali
Menyederhanakan pecahan setelah dikalikan sangat penting karena:
- Memudahkan perbandingan pecahan.
- Mempermudah operasi matematika, seperti penjumlahan, pengurangan, dan pembagian.
- Membantu dalam memecahkan masalah matematika.
Definisi Bilangan Bulat
Bilangan bulat adalah himpunan angka yang terdiri dari angka nol, bilangan asli positif, dan bilangan asli negatif. Bilangan bulat dapat ditulis dalam bentuk …,-3,-2,-1,0,1,2,3,….
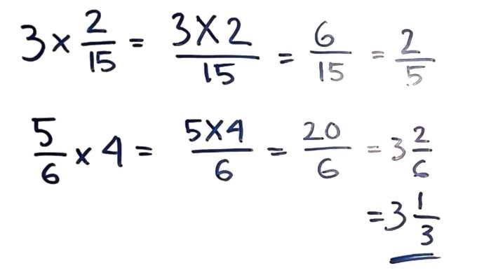
Mengalikan Pecahan dengan Bilangan Bulat
Untuk mengalikan pecahan dengan bilangan bulat, kita dapat menggunakan langkah-langkah berikut:
- Ubah bilangan bulat menjadi pecahan dengan penyebut 1.
- Kalikan pembilang pecahan dengan bilangan bulat.
- Sederhanakan pecahan jika memungkinkan.
Contoh Soal, Cara mengali pecahan biasa
Kalikan pecahan 1/2 dengan bilangan bulat 3.Langkah 1: Ubah 3 menjadi pecahan dengan penyebut 1: 3/1Langkah 2: Kalikan pembilang pecahan 1/2 dengan 3: (1 x 3) / 2 = 3/2Langkah 3: Pecahan 3/2 sudah dalam bentuk paling sederhana.Jadi, hasil perkalian 1/2 dengan 3 adalah 3/2.
Tabel Aturan
Berikut adalah tabel yang merangkum aturan mengalikan pecahan dengan bilangan bulat:| Bilangan Bulat | Aturan ||—|—|| Positif | Kalikan pembilang pecahan dengan bilangan bulat || Negatif | Kalikan pembilang pecahan dengan bilangan bulat, dan ubah tandanya menjadi negatif |
Kutipan dari Sumber Terpercaya
Menurut Khan Academy, “Untuk mengalikan pecahan dengan bilangan bulat, ubah bilangan bulat menjadi pecahan dengan penyebut 1, lalu kalikan pembilang pecahan dengan bilangan bulat.” (Sumber: https://www.khanacademy.org/math/arithmetic/fraction-arithmetic/multiplying-fractions/v/multiplying-fractions-by-whole-numbers)
Aplikasi dalam Kehidupan Nyata
Pengalian pecahan bukan sekadar konsep matematis yang abstrak, tetapi juga memiliki aplikasi yang luas dalam kehidupan sehari-hari. Dari mengukur bahan dalam resep hingga menghitung bahan bangunan, pengalian pecahan memainkan peran penting dalam berbagai bidang.
Memasak
- Saat memanggang kue atau menyiapkan makanan, sering kali kita perlu mengukur bahan-bahan dalam pecahan. Misalnya, resep kue mungkin meminta 1/2 cangkir gula. Jika kita ingin menggandakan resep, kita perlu mengalikan pecahan 1/2 dengan 2, yang hasilnya 1 cangkir gula.
- Selain mengukur bahan, pengalian pecahan juga dapat digunakan untuk menyesuaikan waktu memasak. Misalnya, jika resep menyatakan untuk memanggang kue selama 30 menit pada suhu 350 derajat Fahrenheit, tetapi oven kita hanya dapat mencapai suhu 375 derajat Fahrenheit, kita perlu menyesuaikan waktu memanggang.
Dengan mengalikan 30 menit dengan pecahan 350/375, kita mendapatkan 28 menit, yang merupakan waktu memanggang yang disesuaikan.
Konstruksi
- Dalam konstruksi, pengalian pecahan digunakan untuk menghitung luas dan volume bentuk geometris. Misalnya, untuk menghitung luas persegi panjang dengan panjang 10 kaki dan lebar 5 kaki, kita mengalikan 10 kaki dengan 5 kaki, yang menghasilkan luas 50 kaki persegi.
- Pengalian pecahan juga penting dalam menghitung volume benda tiga dimensi. Misalnya, untuk menghitung volume balok dengan panjang 10 cm, lebar 5 cm, dan tinggi 3 cm, kita mengalikan 10 cm dengan 5 cm dengan 3 cm, yang menghasilkan volume 150 cm kubik.
Cara Mengali Pecahan Biasa
Mengali pecahan biasa merupakan operasi matematika dasar yang digunakan untuk menggabungkan dua pecahan dan menghasilkan pecahan baru. Dalam kehidupan sehari-hari, mengalikan pecahan dapat berguna dalam berbagai situasi, seperti menghitung proporsi, mengonversi satuan, atau menyelesaikan masalah geometri.
Langkah-langkah Mengali Pecahan Biasa
Untuk mengalikan dua pecahan biasa, ikuti langkah-langkah berikut:
- Kalikan pembilang pecahan pertama dengan pembilang pecahan kedua.
- Kalikan penyebut pecahan pertama dengan penyebut pecahan kedua.
- Sederhanakan pecahan hasil kali jika memungkinkan.
Contoh Soal, Cara mengali pecahan biasa
Misalkan kita ingin mengalikan pecahan 1/2 dengan 3/4.
1/2 x 3/4 = (1 x 3) / (2 x 4) = 3/8
Jadi, hasil kali dari 1/2 dan 3/4 adalah 3/8.
Tabel Soal Latihan
Untuk mengasah keterampilan mengali pecahan, berikut adalah tabel soal latihan:
| Soal | Jawaban | Pembahasan |
|---|---|---|
| 1/3 x 2/5 | 2/15 | (1 x 2) / (3 x 5) = 2/15 |
| 3/4 x 1/2 | 3/8 | (3 x 1) / (4 x 2) = 3/8 |
| 5/6 x 2/3 | 5/9 | (5 x 2) / (6 x 3) = 5/9 |
| 1/4 x 3/5 | 3/20 | (1 x 3) / (4 x 5) = 3/20 |
| 2/7 x 1/3 | 2/21 | (2 x 1) / (7 x 3) = 2/21 |
| 3/8 x 4/5 | 3/10 | (3 x 4) / (8 x 5) = 3/10 |
| 5/9 x 2/7 | 10/63 | (5 x 2) / (9 x 7) = 10/63 |
| 1/6 x 3/4 | 1/8 | (1 x 3) / (6 x 4) = 1/8 |
| 2/5 x 4/7 | 8/35 | (2 x 4) / (5 x 7) = 8/35 |
| 3/10 x 5/6 | 1/4 | (3 x 5) / (10 x 6) = 1/4 |
Kesalahan Umum
Saat mengalikan pecahan biasa, ada beberapa kesalahan umum yang perlu dihindari. Kesalahan ini dapat menyebabkan hasil yang salah dan menghambat pemahaman tentang konsep tersebut.
Berikut adalah kesalahan umum dan cara menghindarinya:
Mengabaikan Penyebut
Kesalahan umum adalah mengabaikan penyebut saat mengalikan pecahan. Ingatlah bahwa penyebut mewakili bagian keseluruhan yang dibagi menjadi bagian-bagian yang sama. Saat mengalikan pecahan, penyebut harus dikalikan satu sama lain.
Mengubah Tanda
Saat mengalikan pecahan dengan tanda yang berbeda, penting untuk mengubah tanda hasilnya. Misalnya, jika mengalikan 2/3 dengan -1/4, hasilnya adalah -2/12, bukan 2/12.
Mengabaikan Pecahan Campuran
Pecahan campuran adalah pecahan yang memiliki bilangan bulat dan pecahan. Saat mengalikan pecahan campuran, penting untuk mengubahnya menjadi pecahan tidak wajar terlebih dahulu. Misalnya, 1 1/2 = 3/2.
Mengabaikan Aturan Pembagian
Saat mengalikan pecahan, penting untuk mengingat aturan pembagian. Ketika mengalikan pecahan dengan pecahan lain, hasilnya adalah pembilang pertama dikalikan dengan pembilang kedua, dan penyebut pertama dikalikan dengan penyebut kedua.
Tidak Menyederhanakan Hasil
Setelah mengalikan pecahan, penting untuk menyederhanakan hasilnya jika memungkinkan. Misalnya, jika hasilnya adalah 6/12, itu dapat disederhanakan menjadi 1/2.
Tip dan Trik
Mengali pecahan dapat disederhanakan dengan beberapa tip dan trik. Pertama, ingatlah bahwa mengalikan pecahan sama dengan mengalikan pembilang dengan pembilang dan penyebut dengan penyebut.
Jika kedua pecahan memiliki penyebut yang sama, cukup kalikan pembilangnya dan pertahankan penyebutnya. Misalnya, 1/2 x 3/2 = (1 x 3) / (2 x 2) = 3/4.
Mengubah Pecahan Campuran ke Pecahan Biasa
Jika salah satu atau kedua pecahan adalah pecahan campuran, ubahlah menjadi pecahan biasa sebelum dikalikan. Untuk mengubah pecahan campuran menjadi pecahan biasa, kalikan bilangan bulat dengan penyebut, lalu tambahkan pembilang. Hasilnya adalah pembilang baru, dan penyebutnya tetap sama. Misalnya, 1 1/2 = (1 x 2) + 1 / 2 = 3/2.
Saat mengali pecahan biasa, kita dapat menggunakan cara cepat dan mudah. Salah satu cara yang populer adalah dengan mengubah pecahan menjadi bentuk desimal. Untuk mengali pecahan, kita cukup mengalikan angka pembilang dengan pembilang dan penyebut dengan penyebut. Seperti halnya saat kita ingin membuat agar agar dodol , kita harus mencampur bahan-bahan dengan perbandingan tertentu.
Setelah agar agar dodol selesai dibuat, kita dapat kembali ke soal pecahan biasa. Dengan mengali pecahan dengan cara yang tepat, kita akan memperoleh hasil yang akurat dan mempermudah proses perhitungan matematika.
Menyederhanakan Pecahan
Setelah mengalikan pecahan, sederhanakan hasilnya dengan mencari faktor persekutuan terbesar (FPB) dari pembilang dan penyebut. Kemudian, bagi kedua angka tersebut dengan FPB untuk mendapatkan pecahan yang disederhanakan. Misalnya, 6/12 = 6 ÷ 6 / 12 ÷ 6 = 1/2.
Menggunakan Kalkulator
Kalkulator dapat digunakan untuk mengali pecahan dengan mudah. Cukup masukkan pecahan sebagai berikut: pembilang / penyebut x pembilang / penyebut. Misalnya, untuk mengalikan 1/2 dengan 3/4, masukkan 1/2 x 3/4 di kalkulator.
Ilustrasi Visual
Diagram Pengalian Pecahan
Bayangkan sebuah diagram persegi panjang yang mewakili pecahan pertama, dengan panjang adan lebar b. Di dalam persegi panjang ini, gambarlah kisi-kisi persegi yang lebih kecil dengan ukuran ax b.
Sekarang, bayangkan persegi panjang lain yang mewakili pecahan kedua, dengan panjang cdan lebar d. Gambarkan juga kisi-kisi persegi di dalam persegi panjang ini, dengan ukuran cx d.
Untuk mengalikan kedua pecahan, tumpang tindihkan kedua persegi panjang dan hitung jumlah kotak yang saling tumpang tindih. Jumlah kotak ini mewakili hasil kali dari kedua pecahan.
Infografis Proses Pengalian
Infografis berikut mengilustrasikan langkah-langkah pengalian pecahan:
- Kalikan pembilang dari kedua pecahan.
- Kalikan penyebut dari kedua pecahan.
- Hasil perkalian pembilang menjadi pembilang pecahan baru.
- Hasil perkalian penyebut menjadi penyebut pecahan baru.
Referensi dan Sumber
Untuk memperluas pengetahuan Anda tentang pengalian pecahan, berikut beberapa sumber tambahan:
Situs Web
- Math is Fun: Pengalian Pecahan
- Khan Academy: Mengali Pecahan
Buku
- The Complete Idiot’s Guide to Algebra, oleh W. Michael Kelley
- Fractions for Dummies, oleh Mark Ryan
Video
- Cara Mengali Pecahan Biasa: Video YouTube
- Pengalian Pecahan: Video Education.com
Rangkuman
Mengali pecahan biasa adalah operasi matematika penting yang digunakan dalam berbagai bidang kehidupan. Memahami konsep ini sangat bermanfaat untuk menyelesaikan masalah matematika, sains, dan teknik.
Langkah-Langkah Mengali Pecahan Biasa
Mengali pecahan biasa melibatkan tiga langkah sederhana:
- Kalikan pembilang pecahan pertama dengan pembilang pecahan kedua.
- Kalikan penyebut pecahan pertama dengan penyebut pecahan kedua.
- Sederhanakan pecahan yang dihasilkan, jika memungkinkan.
Contoh Pengalian Pecahan Biasa
Misalkan kita ingin mengalikan pecahan 1/2 dengan 3/4:
/2 x 3/4 = (1 x 3) / (2 x 4) = 3/8
Hasil perkaliannya adalah 3/8.
Manfaat Memahami Pengalian Pecahan
Memahami pengalian pecahan sangat bermanfaat karena:
- Membantu memecahkan masalah matematika kompleks yang melibatkan pecahan.
- Memungkinkan perhitungan persentase, proporsi, dan rasio dengan akurat.
- Penting dalam bidang sains dan teknik, seperti fisika, kimia, dan teknik sipil.
Penutupan
Menguasai pengalian pecahan biasa tidak hanya memperluas kemampuan matematika Anda, tetapi juga melatih pemikiran kritis dan kemampuan pemecahan masalah Anda. Dengan pemahaman yang kuat tentang topik ini, Anda akan siap menghadapi tantangan matematika apa pun yang menghampiri Anda.
Tanya Jawab Umum
Apa itu pecahan biasa?
Pecahan biasa adalah bilangan yang menyatakan bagian dari keseluruhan.
Bagaimana cara mengalikan pecahan?
Untuk mengalikan pecahan, kalikan pembilang dengan pembilang dan penyebut dengan penyebut.
Mengapa penting untuk menyederhanakan pecahan setelah dikalikan?
menyederhanakan pecahan setelah dikalikan membuat pecahan lebih mudah dibaca dan dipahami.
